Manera de usar las fórmulas
Las fórmulas siguientes sirven para calcular las propiedades de área de un polígono de n esquinas
La manera de numerar las esquinas del polígono es la siguiente:
Si el área (y todas las propiedades de sección) que se quiere conseguir es positiva, la numeración debe ir en el sentido antihorario.
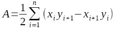
Superficie
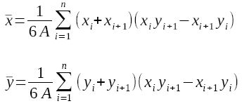
Centroide
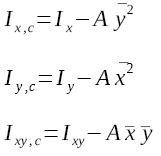
Inercias respecto del centroide
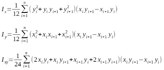
Inercias respecto del origen

