Introducción
.Los casos típicos de conexión de dos elementos suele ser empotrada o articulada. Sin embargo, existen casos especiales (especialmente en estructuras metálicas) donde es necesario analizar el comportamiento de la estructura cuando la unión no es completamente articulada ni perfectamente empotrada. Estamos hablando de una unión semirígida o parcialmente articulada
De hecho, ninguna conexión es complétamente rígida o complétamente articulada en la práctica, y menos aun si hablamos de conexiones metálicas.
La forma de aproximar este fenómeno de articulación parcial de la unión mediante elementos de barra en el análisis matricial de estructuras es incorporando elementos de resorte de rotación en los extremos de la barra. Estos resortes están ubicados a una distancia infinitesimal de la conexión (que en el dibujo por propósitos pedagógicos se ve desproporcionadamente grande).
Las variables de la figura son:
– u1, u3: Desplazamiento vertical de los nudos
– u2, u4: Giro de los nudos
– Q1, Q3: Fuerza vertical en los nudos
– Q2, Q4: Momento flector en los nudos
– kb: Rigidez rotacional del resorte izquierdo
– ke: Rigidez rotacional del resorte derecho
– L, E, I: longitud, elasticidad, inercia
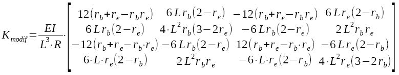
Matriz de rigidez
No nos centraremos en la demostración de las componentes de la matriz de rigidez con incorporación de articulaciones parciales. Si se desea puede revisarse la demostración de las fórmulas en el libro de Aslam Kassimali – Matrix Structural Analysis.
La matriz de rigidez de viga de Euler-Bernoulli con la modificación para articulaciones parciales es:
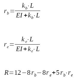
y donde los factores r_e, r_b y R son:
Las variables mostradas arriba representan:
- E: Módulo elástico
- I: Inercia del elemento en la dirección de análisis
- L: Longitud del elemento
- kb: Rigidez rotacional de resorte equivalente en el extremo izquierdo
- ke: Rigidez rotacional de resorte equivalente en el extremo derecho
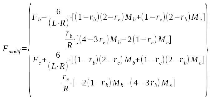
Vector de fuerzas equivalentes
El vector de fuerzas equivalentes corresponde a las fuerzas distribuidas transformadas en fuerzas en los nudos, a través de las tablas de Momentos De Empotramiento Perfecto
En un problema de vigas sin articulaciones, las fuerzas distribuidas se convierten en cargas en los nudos como en la siguiente figura, y con las fuerzas equivalentes con la nomenclatura mostrada:
En cambio, cuando se implementan las articulaciones parciales, el vector de fuerzas equivalente queda:
y donde las variables representan:
- Fb: Fuerza izquierda equivalente a la carga distribuida
- Fe: Fuerza derecha equivalente a la carga distribuida
- Mb: Momento de fuerza equivalente izquierda a la carga distribuida
- Me: Momento de fuerza equivalente derecha a la carga distribuida
El resto de las variables se explicaron para la matriz de rigidez modificada arriba. A la vez, para encontrar las fuerzas Fb, Fe, Mb, Me, se debe consulta la tabla de Momentos De Empotramiento Perfecto
Nota sobre los factores de rigidez
Cuando se busca rigidez absoluta o empotramiento perfecto en los extremos de una barra, los factores r_e y r_b deben ser iguales a 1. En cambio, si se busca articulación absoluta, los factores r_e y r_b deben ser cero. Para lograr esto, la rigidez de los resortes kb y ke deben variar entre infinito y 0, respectivamente.
Bajo esta perspectiva, es más fácil programar el ingreso de datos por factores de rigidez (r_e y r_b) que por rigideces absolutas de los resortes (ke y kb), ya que en la mayoría de los casos no se conoce la rigidez que pueda tener el resorte (ke y kb), pero si se conoce el porcentaje de rigidez que se quiere lograr (1 = 100% y 0 = 0% impuesto sobre los factores r_e y r_b)
Referencia bibliográfica
Libro: Matrix Analysis of Structures – Aslam Kassimali

